Afastamento ou recolhimento de palha reduz a população de cigarrinha nos canaviais
13-04-2020
A praga, que pode dizimar até 70% dos canaviais, apresenta maior incidência nas áreas de colheita mecanizada
Nos últimos anos, a cigarrinha-da-raízes foi elevada ao status de praga-chave para a cultura da cana-de-açúcar. Podendo ser encontrada em praticamente todas as regiões canavieiras do Brasil, sua incidência tem aumentado em decorrência da perpetuação da colheita mecanizada de cana crua, que criou um novo ambiente nos canaviais, mais propício ao desenvolvimento da praga.
Entre os prejuízos causados pela cigarrinha, destacam-se a redução do teor de açúcar e aumento do teor de fibras e de colmos mortos. Além disso, as ninfas extraem grandes quantidades de água e nutrientes das raízes, impactando negativamente no desenvolvimento da cultura.
Danos causados pela cigarrinha podem dizimar até 70% da produtividade do canavial
Foto: Arquivo MS Fernandes Consultoria
A pesquisadora do Instituto Agronômico (IAC), da Secretaria de Agricultura e Abastecimento do Estado de São Paulo, Leila Luci Dinardo-Miranda, relata que a intensidade dos danos dependerá de três fatores principais: população; variedade e idade/tamanho da planta ao sofrer o ataque.
“A questão da população é bastante óbvia. Quanto maior, maior será o dano. Com relação a influência da variedade, conheço apenas um material tolerante a praga: IACSP96-7569. De resto, todos são suscetíveis, sendo que o nível de susceptibilidade varia bastante. Tem variedades que perdem de 60% a 70% da produtividade, enquanto outras, de 10% a 20%.”
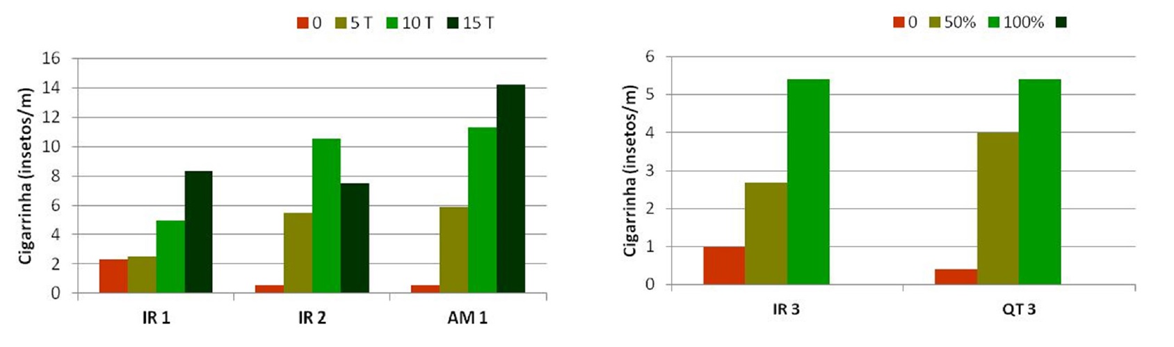
Este último item tem grande impacto sobre as populações de cigarrinha. Ao afastar a palha da linha da cana, o sol incidirá mais sobre a área, que perderá água por evaporação. Com um ambiente mais seco, as condições se tornam menos adequadas para o desenvolvimento da praga.
Porém, os inseticidas continuam como o principal método de controle. Mas, a pesquisadora frisa que as aplicações precisam ser bem-feitas, seguindo certos critérios, como o uso de jato dirigido 70 x 30. Já em aplicações áreas e em áreas onde as populações iniciais estiverem muito acima dos níveis de dano econômico, a dose deverá ser aumentada de 15% a 20%.
IMPACTOS DO AFASTAMENTO OU RECOLHIMENTO DE PALHA SOBRE AS POPULAÇÕES DE CIGARRINHA
Fonte: Divulgação Leila Luci Dinardo-Miranda
“Além disso, não é correto aplicar o inseticida em área total e nem usar subdoses ou misturar produtos no tanque. É importante também não aplicar químicos onde não for necessário, ou seja, onde as populações estiverem muito baixas. Nesses casos, o controle pode ser biológico ou cultural.”
Leila ressalta a importância de rotacionar os produtos, uma ferramenta de extrema importância para o manejo da resistência da cigarrinha a inseticidas, fato que tem preocupado o segmento canavieiro nos últimos tempos e que falaremos um pouco mais a seguir.
Fonte: CanaOnline

