Cana de final de safra sofre mais com o ataque da cigarrinha
27-10-2020
Pesquisadora orienta criar uma matriz de manejo para nortear os trabalhos das equipes de campo
Leonardo Ruiz
Para o controle da cigarrinha-da-raízes, praga que pode reduzir a produtividade dos canaviais em até 70%, a pesquisadora do Instituto Agronômico (IAC), da Secretaria de Agricultura e Abastecimento do Estado de São Paulo, Leila Luci Dinardo-Miranda, orienta realizar uma matriz de manejo, considerando fatores como: população; variedade e idade/tamanho da planta ao sofrer o ataque.
Esses três fatores devem ser levados em conta na hora de criar uma agenda de amostragem e controle. A pesquisadora do IAC ressalta que os canaviais colhidos no final de safra e formados com variedades muito suscetíveis devem ser priorizados. “Quando inicia o período chuvoso e começa a aparecer cigarrinha na usina inteira, a agrícola fica perdida. As equipes são pequenas e não sabem ao certo por onde começar os trabalhos. Daí a importância de seguir uma matriz de manejo.”
MATRIZ PARA MANEJO DE CIGARRINHA
Fonte: Divulgação Leila Luci Dinardo-Miranda
Essa matriz – composta por nove gazelas – tem como objetivo nortear os trabalhos das equipes de campo. Ela elenca as variedades e as cruza com as épocas em que foram colhidas. As amostragens e os métodos de controle das áreas localizadas nas gazelas mais inferiores (1,2 e 3) devem ser priorizadas. “Uma RB855536 colhida em outubro/novembro tem prioridade perante uma RB966928 colhida em abril/maio”, recomenda Leila.
Além de melhor direcionamento das equipes, seguir a matriz de manejo possui diversas outras vantagens, como adoção de medidas de controle somente quando necessário, possibilidade de uso de inseticidas de maneira mais moderada e a inclusão de diferentes ferramentas de manejo, como controle biológico e afastamento da palha.
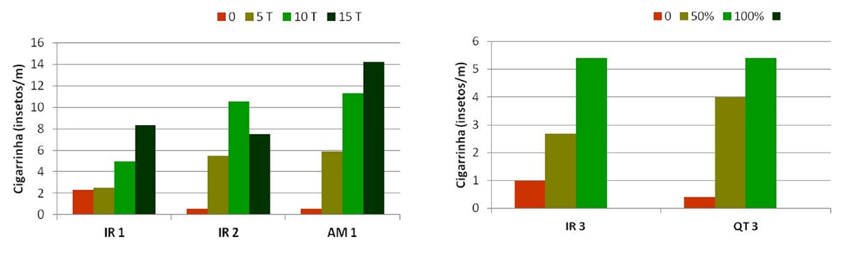
Este último item tem grande impacto sobre as populações de cigarrinha. Ao afastar a palha da linha da cana, o sol incidirá mais sobre a área, que perderá água por evaporação. Com um ambiente mais seco, as condições se tornam menos adequadas para o desenvolvimento da praga.
IMPACTOS DO AFASTAMENTO OU RECOLHIMENTO DE PALHA SOBRE AS POPULAÇÕES DE CIGARRINHA
Fonte: Divulgação Leila Luci Dinardo-Miranda
Porém, os inseticidas continuam como o principal método de controle. Mas, a pesquisadora frisa que as aplicações precisam ser bem-feitas, seguindo certos critérios, como o uso de jato dirigido 70 x 30. Já em aplicações áreas e em áreas onde as populações iniciais estiverem muito acima dos níveis de dano econômico, a dose deverá ser aumentada de 15% a 20%.
“Além disso, não é correto aplicar o inseticida em área total e nem usar subdoses ou misturar produtos no tanque. É importante também não aplicar químicos onde não for necessário, ou seja, onde as populações estiverem muito baixas. Nesses casos, o controle pode ser biológico ou cultural.”
Fonte: CanaOnline

