Irrigação complementar ou suplementar da cana-de-açúcar
09-03-2020
A irrigação complementar ou suplementar da cana-de-açúcar é uma ferramenta cada vez mais necessária para melhorar a produção canavieira, pois a deficiência hídrica impacta negativamente tanto a produtividade como a qualidade das lavouras.
Em um cenário de crescimento da cana-de-açúcar e maior competição por áreas com potencial de produção, destacam-se a água e o clima como fatores limitantes de grande parte das regiões de expansão agrícola no Brasil e que apresentam problemas de déficit hídrico para a cultura. Segundo dados do Instituto de Economia Agrícola (IEA) e do Centro de Tecnologia Canavieira (CTC), em 2014 cerca de 80% da área explorada com cana-de-açúcar na região Sudeste do país apresentou precipitações abaixo do esperado e aumento significativo nas temperaturas médias máximas, gerando prejuízos aos produtores.
As necessidades hídricas da cana-de-açúcar variam conforme suas fases de desenvolvimento, necessitando em média de 1.500mm a 2.500mm de chuva, distribuídos de maneira uniforme durante todo o ciclo. A oferta de água no solo governa a produção vegetativa da cultura, sendo que sua falta ou excesso afeta de maneira significativa o desenvolvimento. Quando a quantidade de água não atende às necessidades hídricas da cultura, desenvolve-se estresse hídrico, que causa o fechamento dos estômatos, a diminuição da fotossíntese e acaba afetando negativamente o rendimento final da produtividade. Este obstáculo não se limita apenas às regiões áridas e semiáridas, uma vez que, mesmo em regiões consideradas úmidas, com a distribuição irregular das chuvas e as altas temperaturas, pode haver limitação de crescimento.
A irrigação para cultura de cana-de-açúcar já é uma realidade que alguns produtores tomam como essencial em sua produção, especialmente nas decisões para a maximização da produtividade de açúcar e álcool. A evapotranspiração das plantas é o principal componente de perda de água para a atmosfera dentro de um balanço hídrico, que é a relação entre a temperatura do dossel vegetativo e o potencial de água no solo. Neste contexto, uma melhor compreensão do planejamento e manejo da irrigação das culturas pode fornecer aos agricultores melhores oportunidades de aplicação em áreas onde há potencial de cultivo.
BENEFÍCIOS QUANTIFICADOS
Pesquisas desenvolvidas em área experimental do Departamento de Engenharia Rural da FCAV/Unesp, Campus de Jaboticabal, São Paulo, buscam quantificar os benefícios da irrigação para a cultura de cana-de-açúcar. Para tanto, foram utilizados tratamentos caracterizados como T1 (tratamento irrigado), Figura 1 A, e T2 (testemunha, não irrigada), Figura 1 B. A variedade de cana-de-açúcar cultivada na área experimental é a RB855453, que se encontra no quarto corte.
Figura 1 - Fase de perfilhamento da cana-de-açúcar, irrigada (A) e não irrigada (B), cultivada na área experimental do Departamento de Engenharia Rural da FCAV/Unesp. Jaboticabal, SP, 2014
Para monitorar o comportamento do potencial de água no solo de forma rápida e com menor custo, foram instalados no centro de cada superfície três tensiômetros a 20cm e três a 40cm de profundidade, respectivamente.
A quantidade de água aplicada no tratamento irrigado se deu em função dos valores da Evapotranspiração (ET0), obtidos pelo método de Penman-Monteithe de acordo com o coeficiente da cultura (Kc) de cana-de-açúcar. A irrigação, do tipo gotejamento (Figura 2), foi realizada através da instalação de seis mangueiras de 3,5m de comprimento, com gotejadores a cada 20cm, em toda a sua extensão. O turno de rega foi a cada três dias ou quando a soma da evapotranspiração da cultura chegasse a 50% do total de água disponível no solo.
A determinação da área foliar, do diâmetro dos colmos, da altura das plantas e a posterior medição da massa de matéria seca foram realizadas no período de crescimento e maturação dos colmos. Ao final do experimento foi realizada a colheita, em 8/4/2015, todas as plantas foram pesadas e a produtividade calculada em toneladas por hectare (t/ha).
Os dados da Tabela 1 apresentam as lâminas d’água mensais recebidas em cada tratamento, e a precipitação em seus respectivos meses de ocorrência. A quantidade total de água recebida das chuvas ocorridas foi de 882,30mm, possibilitando o desenvolvimento da cultura no tratamento T2 (testemunha, não irrigada). Nota-se que o tratamento T1 (irrigado) apresentou as maiores quantidades de lâmina d’água pela irrigação nos meses iniciais de crescimento e desenvolvimento da cultura (agosto: 124,65mm, setembro: 93,03mm e outubro: 137,98mm). Nestes meses houve limitações da precipitação pluvial para o ano de 2014, seguidas de grande período de seca e altas temperaturas na região.
Tabela 1 - Lâmina d’água mensal recebida pela cultura em cada tratamento e precipitação, em mm, ocorrida durante o desenvolvimento do experimento. Jaboticabal, SP, 2014/2015
A falta de água para a cultura no período de perfilhamento afeta os tecidos imaturos da planta e acaba prejudicando os processos de armazenamento de açúcar. Por isso, o uso da irrigação complementar vem sendo adotado cada vez mais pelos produtores devido à queda na produção, seja em regiões semiáridas ou em períodos de intenso estresse hídrico.
Segundo dados apresentados pelo Instituto de Economia Agrícola (IEA/2015) e o Centro de Tecnologia Canavieira (CTC/2015), a falta de água na safra de 2013/2014 provocou danos severos à cultura de cana-de-açúcar, com quedas superiores a 25% na produtividade. Essa diminuição se deve a áreas que mais sofreram por conta da falta de chuvas e ao aumento das temperaturas médias máximas que registraram aumento superior a 5% em relação às safras anteriores.
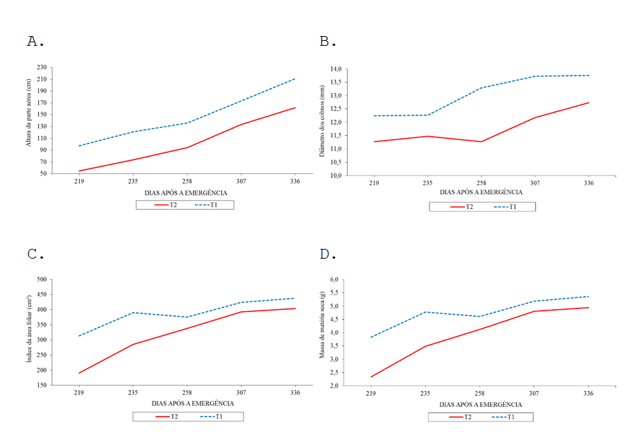
Figura 3 - Altura da parte aérea (A), em cm; Diâmetro dos colmos (B), em mm; Índice da área foliar (C), em cm2, e Massa de matéria seca (D), em gramas, para os tratamentos T1 (irrigado) e T2 (testemunha, não irrigado). Jaboticabal, SP, 2014/2015
Na Figura 3 (A, B, C e D), para o tratamento T1 (irrigado) nota-se que houve maior desenvolvimento da cana-de-açúcar em relação ao T2 (testemunha, não irrigado), devido à resposta da cana-de-açúcar ao manejo da irrigação. O crescimento em altura no tratamento T2 (Figura 3 A) foi afetado pela ocorrência da limitação no suprimento de água e de variações na temperatura do dossel, assim como os colmos (Figura 3 B), que são compostos por nós e entrenós bem marcados e se localizam acima do solo, tendo como principais funções a sustentação das folhas e das panículas, condução de água e nutrientes do solo às folhas e o armazenamento de açúcares. Em relação ao índice de área foliar (Figura 3 C) e à massa de matéria seca das folhas (figura 3 D), ao sofrer estresse hídrico a cultura de cana-de-açúcar apresenta algumas modificações específicas como a queda de folhas verdes e porcentagem diminuta da área foliar. A Figura 4 apresenta os dados de produtividade média da cana-de-açúcar, para cada tratamento, em toneladas por hectare (t/ha). Observa-se que o tratamento T1 (irrigado) foi o que apresentou maior produtividade (107,1t/ha1), enquanto o T2 (testemunha, não irrigado) obteve menor produtividade (63,1t/ha), cerca de 58% a menos que a irrigada. Estes dados indicam que a falta de água, aliada ao estresse hídrico para a cultura de cana-de-açúcar, principalmente nas fases de brotação e perfilhamento, causa redução na produtividade.
Figura 4 - Produtividade de cana-de-açúcar, em t ha-¹, para os tratamentos T1 (irrigado) e T2 (testemunha, não irrigado). Jaboticabal, SP, 2014/2015
É possível concluir que o manejo da irrigação afeta o desenvolvimento da cana-de-açúcar, influenciando em seus aspectos fisiológicos ao longo de todo o ciclo produtivo e também depois do corte. A irrigação complementar ou suplementar da cana-de-açúcar é uma ferramenta que vem cada vez mais sendo utilizada para promover a verticalização da produção canavieira. Principalmente devido à incorporação de novas áreas agrícolas em crescente expansão, sobremaneira as que apresentam maiores variações ambientais, como a deficiência hídrica, o que acaba influenciando na produtividade e qualidade das lavouras.
CANA NO BRASIL
No Brasil, a cultura de cana-de-açúcar (Saccharum officinarum L.) é de grande importância, tanto econômica como ambiental. Atualmente ocupa mais de 9,9 milhões de hectares, com produção de aproximadamente 700 milhões de toneladas. Destaque para São Paulo com maior área e produção no País (5,4 milhões de hectares e 400 milhões de toneladas, respectivamente). Para a safra de 2015/2016 estima-se aumento aproximado de 12,2 milhões de hectares, com produção de 902,8 milhões de toneladas de cana processada. Se estes valores se confirmarem, em poucos anos o País será o líder mundial na produção de energia limpa e renovável.
Por Rodrigo Garcia Brunini, José Eduardo Pitelli Turco, FCAV/Unesp
Fonte: Publicado na edição 196 da Cultivar Grandes Culturas

